大氣壓放電等離子體核心關鍵技術及應用前景(精彩發言)
- 作者:
- 安徽新天源建設咨詢有限公司
- 最后修訂:
- 2020-07-04 09:40:46
摘要:
目錄
【精彩發言】
1、戴 棟:從非線性動力學角度再認識和理解大氣壓介質阻擋放電
先簡單介紹一下我為什么會做這方面的工作。我以前不是研究氣體放電的,從研究生學習開始,我一直從事電力電子電路與系統中的非線性現象研究。2009年,我從西安交通大學調動到華南理工大學,碰巧接觸到了一些大氣壓介質阻擋放電中非線性現象的研究工作。上午清華大學的王新新老師也提到了,大連理工大學王德真老師的研究小組最早開始進行了大氣壓介質阻擋放電中的非線性動力學研究。看了他們的研究工作,再加上自己具有一定的非線性動力學研究基礎,因此,我也嘗試著繼續做一些工作,今天就簡單給大家匯報一下我的一些工作進展和想法。
首先給大家介紹一下非線性動力學的基本概念。考慮到在座的大多是等離子體方面的專家,對非線性動力學不太熟悉,因此我就從最簡單的離散映射系統開始為大家進行介紹。這個映射系統雖然看起來非常簡單,但足以讓大家比較好地理解非線性動力學的基本概念。Logistic映射數學表達式是xn+1=rxn(1-xn),它是非線性動力學里非常基礎的一個例子。盡管Logistic映射看起來很簡單,但它已經是一個動力學系統,即它的狀態變量是隨時間演化的。對于我們現在討論的Logistic映射,比如說第n步是xn,那第n+1步是什么呢?很簡單,由映射關系就可以得到xn+1。我們來觀察它隨時間會如何演化,比如說從x0開始,迭代第一步得到x1,再得到x2,一直迭代下去我們最終可以觀察到映射的穩態結果,那我們究竟可以觀察到什么樣的穩態行為呢?這其實就是非線性動力學研究的一個主要內容。我們來看這么一個簡單的Logistic映射,圖1給出了它的分岔圖。顯然,映射最終的穩態行為是與映射的參數有關系的,通過圖1的分岔圖我們就可以觀察映射在各個參數下的穩態行為。

例如,當r=2.5時,Logistic映射的穩態很簡單,就是一個不動點,也稱為周期一點。如果:再增加,比如增加到2. 9,這時穩態依然還是個不動點,和r=2.5時的穩態對比,穩態行為并沒發生性質的變化。進一步增加到3. 0時,會發現穩態還是個不動點,但這時候與2. 9時有一點變化,這時映射處于一種臨界狀態,如果參數r再增加一點就無法觀察到之前的不動點穩態行為,所以我們認為在r=3.0處Logistic映射發生了分岔現象。進一步增加參數r到3. 1時,就會發現穩態已經不是不動點或周期一,而是周期二了。周期二就是指穩態行為在兩個點之間來回的振蕩。進一步增加r到3. 45時,映射又進人了周期二的臨界狀態,當然我們認為這時也發生了分岔現象。進一步增加r我們還可以觀察到周期四穩態,即在這四個點之間來回振蕩形成一個完整的軌道。剛才我們已經觀察到周期一到周期二的倍周期分岔以及周期二到周期四的倍周期分岔,隨著r繼續增加,我們還可以進一步地觀察到倍周期分岔,如周期四到周期八、周期八到周期十六、周期十六到周期三十二等等。顯然,隨著倍周期分岔的持續發展,映射穩態將呈現越來越大的周期態,這個周期態在極限情況下周期將無窮大,就變為了一個非周期行為,我們稱之為混沌態,這就是非線性動力學中典型的倍周期分岔通向混沌的路徑。通過這個Logistic映射的例子,我們簡單地認識了一下什么是分岔。分岔其實從定義上來說很簡單,它就是指當系統參數改變時,動力學系統定性行為發生變化的一種現象。分岔描述的是系統隨參數變化的動態現象,不同類型的分岔其細節也不一樣,我們可以進一步地定義不同的分岔現象,因為時間原因這里就不給大家詳細展開了。
那混沌又是什么呢?混沌就是動力學系統在某些參數下產生的一種現象,以Logistic映射為例,當r>3.57時會發生混沌行為。那混沌行為有什么特點呢?簡單來說,在混沌狀態下你會發現映射隨時間演化的結果并不呈現某種周期性,同時還會發現映射演化的結果對初值極其敏感。也就是說從不同的初值x0出發,演化很長時間后,例如100萬步后,會觀察到它們的演化結果是完全不一樣的,這就叫作對初值的敏感性。另外要說明的是,Logistic映射很簡單,是一個確定性的動力系統,但是它產生的混沌行為是非周期的,就像隨機結果一樣。這就很奇怪了,因為一個不包含隨機因素的確定性動力系統,當它處于混沌狀態時它看起來就像是
一個隨機系統產生的結果,這也是混沌的一個重要特征。關于混沌嚴格的定義目前仍然還有一定的爭議,但我們通常說一個系統是混沌的,如果這個系統具有以下三個性質:初值敏感性;拓撲上的混合特征;周期軌道是稠密的。
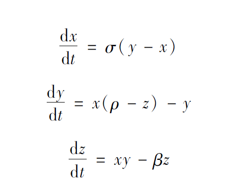
剛才講的Logistic映射是一個離散動力系統,下面給出一個連續動力系統的例子,該系統非常有名,叫作洛倫茲系統,是1969年洛倫茲在研究氣象模型時提出的:

洛倫茲系統其實就是一個簡單的三維自治ODE方程組,洛倫茲發現在某些參數下該系統會出現混沌行為。圖2給出了洛倫茲系統具有雙渦卷特征的混沌吸引子相圖,注意其軌道是永不重復的。
我們這里研究的大氣壓介質阻擋放電和剛才講的非線性動力學到底有什么關系呢?圖3是華南理工大學的放電實驗原理圖。從電路的角度來看,這個實驗系統有一個交流電源,這個電源連接到放電室中,放電室里有電極和阻擋介質,在實驗中我們可以直接測量電源電壓和放電電流。


下面給出一組實驗研究的結果,在實驗中氣隙寬度保持在2. 08mm,阻擋介質用的是石英玻璃,其相對介電常數為3. 6,電源電壓頻率保持在26. 6kHZ不變,只通過調節電源的幅值來觀察放電現象。我們首先觀察到當電源電壓峰一峰值Vpp=1755V時,可以得到周期一的放電電流波形(周期一是指放電電流周期與外施電源電壓的周期完全一樣)。觀察得到的電源電壓圖形,是可以比較明顯地看出放電電流為周期一的。此外,我們還可以看看由實驗數據得到的電源電壓一放電電流相圖,可以發現,實驗數據是包含很多干擾和誤差的,因此在相圖中周期一軌道并不是非常完美的重合,但大致來看還是可以認為是周期一的。如果要再細致地確認軌道的周期性,我們可以進一步來觀察放電電流的頻譜。對放電電流進行快速傅立葉變換(FFT)后得到的放電電流頻譜。觀察0 —25次諧波的頻譜放大圖,可以看出在基波的整數倍處有明顯的頻率分量,25一50次諧波的頻譜放大圖中也有同樣的情形。所以,從頻譜的角度來說我們可以認為此時的放電電流波形是周期一的。
如果把電源電壓的氣P值再增加一些到1800 V,我們會觀察到周期二的放電。從電源電壓和放電電流波形圖,大致可以看出一些周期二的模式。從相圖中可以看出區別于周期一放電時的一個環,這時相圖里表現為兩個環,當然在電流脈沖這里相圖的重復性依然不是太好,那我們就來看看放電電流的頻譜。從0一25次諧波的頻譜放大圖中,可以發現,不僅在整數次諧波處有頻率分量,在整數次諧波之間也存在著頻率分量,在25一50次諧波的頻譜放大圖中,也存在著同樣的情形。所以,通過頻譜圖可以明顯看出放電電流的基波頻率其實是電源電壓頻率的一半,即放電電流的周期是電源電壓周期的兩倍。
我們進一步增加Vpp值到1830V,從電源電壓和放電電流波形圖看,大致可以認為是周期四的模式。在相圖中只能觀察到兩個環,無法由此判斷放電電流的周期四特征。在0—25次諧波的頻譜放大圖中可以發現,不僅在整數次諧波處有頻率分量,在整數次諧波之間也存在著頻率分量,再仔細觀察可以發現在一些1/4基波的整數倍處也存在著頻率分量。在25—50次諧波的頻譜放大圖中,已經可以明顯觀察到存在1/4基波整數倍的頻率分量。因此,我們認為放電電流的基波頻率是電源電壓頻率的1/4,即放電電流的周期是電源電壓周期的四倍。
進一步增加Vpp值到1847 V,我們可以觀察到混沌態放電。在電源電壓和放電電流波形圖中已無法明顯看出放電電流的周期性。對比之前周期放電時的相圖,這時相圖中的軌道看起來很稠密。在0— 25次諧波的頻譜放大圖中還可以看出主要是在諧波處有頻率分量,但是在25—50次諧波頻譜放大圖中,我們可以明顯地發現并不只在諧波處存在頻率分量,這時的頻譜圖具有連續頻譜分布的特征。所以,我們認為此時放電處于混沌態。在以上的實驗結果中,我們觀察到了周期一、周期二、周期四以及混沌態放電,所以,我們認為這就是非線性動力學中典型的倍周期分岔通向混沌的路徑。它的動力學機理到底是怎么回事呢?我們可以用這個公式來分析氣隙電壓,即Vg=Vin? + Vab,這里Vg是氣隙電壓,Vin是外施電源電壓,Vab是阻擋介質上累積電荷產生的等效電壓。顯然,氣隙電壓Vg由Vin和Vab兩部分共同疊加作用。對周期一放電的數值進行仿真,根據之前的公式可知,氣隙電壓減去外施電壓即為阻擋介質上累積電荷產生的等效電壓Vab。在Vab> 0部分,根據外施電壓方向的不同,Vab分別可以起到抑制放電和助推放電的作用。同樣的,在Vab< 0部分,Vab也分別可以起到抑制放電和助推放電的作用。
我們再來看一下在一個周期內Vab的變化過程。在一個周期內Vab的分布分為兩部分,即大于零和小于零兩部分,這兩個部分的轉換是由放電導致的介質板上的電荷反向引起的。剛才已經指出,無論是Vab>0還是甄Vab<0部分,又可以進一步劃分為抑制放電和助推放電兩個區間,它們的轉換是通過外施電壓換向實現的。因此,再重新看一下整個周期可以發現一個周期內其實有四個區域,在這個四個區域里阻擋介質或助推放電或抑制放電,它們由放電或外施電壓換向產生切換或轉換。
介質板對放電的作用,不僅有助推有利于放電的作用,還有抑制放電的作用,這兩種作用是交替進行的,它們最終實現了一個精妙的平衡。剛才給出的是最基本最簡單的周期一放電下的例子,在一定條件下如果剛才所述的那種平衡狀態不能保持穩定,那么就可能進人其他的平衡狀態并表現為其他的放電形態,例如周期二放電甚至混沌態放電。
總結一下,我認為大氣壓介質阻擋放電是一個多物理場藕合的動力學時空系統,在一定的條件下自然會呈現相應的非線性動力學行為。那研究其非線性動力學機理有什么用呢?我是這么想的:首先,通過非線性動力學可以從宏觀層面上解釋一些放電現象,比如說之前提到的分岔、混沌、斑圖、不對稱放電、多脈沖放電等等;其次,如果能徹底搞清楚放電的動力學機理,那就有可能去嘗試采取某種措施對放電現象進行調控。這是我目前所能想到的一些可能的應用。
2、盧新培:大氣壓非平衡等離子體射流的研究
我今天主要講我們實驗室做的等離子體射流的一些裝置,也講一點等離子體子彈的行為,主要是動態過程。主要包括三個部分,我們實驗室的惰性氣體射流、空氣射流,最后講講等離子體子彈的射流。
我們實驗室的惰性氣體射流,跟國外比較明顯的區別是,高壓電極是用電極介質管包的,有的人問我不用包是不是也可以產生,是的,但我們為什么用這個包起來?因為我們實驗室主要做生物醫學應用研究,如果不用介質管包,人的手太靠近電極可能就被電了。我們的這個,手碰到很久才會感覺到有一點溫,但是沒有任何電的感覺,我們做了牙醫設備,國外有一些人總說做了一些生物方面的設備,沒多久就返修,我們這個已經用了幾年根本沒有任何問題,安全性沒問題。在我們測之前,大家總覺得射流攜帶的電流應該很小,在大氣中應該是微亞量級,結果我們測出是幾百毫安,這之后多篇文章也是用與我們同樣的方法進行測量,有的用交流的,一般就是幾十毫安或者幾毫安,脈沖的上百毫安,射流雖然噴在空氣中,電流還是很大的,當然還是脈沖的過程。我們實驗室做了幾個不同的射流裝置,叫它射流因為它都是產生在周圍空氣中,是單電極的,主要是牙醫的應用,可能需要增量,做高速攝影照片也是比較均勻的,為了考慮到更加均勻做了一個等離子刷,手可以一直接觸。不銹鋼針通過電阻連到脈沖電源上,針上是高電壓的(6一7kv),但是人手可以碰,我們為什么做這個針?因為做實驗根管治療,大概深1一2cm,直徑1mm左右,如果用等離子體的噴嘴,想把活性粒子推進去是很難的,因為這是一個密封的通道,國外做的殺菌效果都不理想,因為通道太深。所以為了對根管進行治療,必須把等離子體產生在里面,要產生在里面,里面要有高壓,但牙齒的導電性是非常好的,所以我們不能讓這東西傷害牙齒,而我們做的這個雖然有高壓,但手是可以抓的,也可以放到人的口腔里。等離子體產生在牙齒中,你手抓哪哪就會變亮,整個口腔都是非常亮的,這就是射流跟人體接觸的一個例子。
針上的電壓有6000 V,真正的放電電流大概是10 mA。當手碰到針時,針上因為沒有壓降了就是沒有射流了,手離開后射流又產生了,所以這種針放在牙齒里是沒有任何安全問題的。
下面講一下空氣等離子體射流,我們做了三個裝置,價格分別是2萬美元,三四千美元,三四百美元。最貴的脈沖直流放電加了電容電子,電壓總共才1萬伏,所以間距只有幾毫米,遠了就放不了電了,這是電流電壓的特性,脈沖電壓就是針上的電壓,大概1. 5kV,放電電流其實很大,第一個是1. 5A,后面就小一些,0. 5A}放電都是穩定的,不是隨機的。1. 5A對人沒事。做出這個之后,我們就想看用直流電源可不可以,大家知道用直流電源加上電阻放電,幾十年前這就有人做了,但是當間隙距離段或者電壓稍微高一點,總會從輝光放電變成流注,你如果用這個做等離子體醫學應用是沒法用的,一個是氣溫高,一個是電,我們這里做的就是讓它不會轉換成流注,怎么放都不會轉換成流注放電,都是輝光放電。雖然是直流,放電也還是脈沖的,這是我們這套裝置放電的一個特性,因為我們要保持氣體溫度,直流是非常難的,所以放電還是脈沖的,電流也還是幾十毫安,當然脈沖的頻率變了,大概是幾十千赫茲。手放近一點就放電,手碰到針,因為沒有壓降就不放電,離開又繼續放電。這個裝置可以說是真正的第一個用電子驅動的等離子體射流裝置。和前面那個有點類似,電壓是直流的,但是放電電流是脈沖的,但是它的脈沖寬度要寬一些,100ns左右。
下面講一點動態過程,大家都認為它是電驅動的,所以有惰性氣體射流,我們做了一點實驗,如果電壓低一點,實驗裝置一模一樣,在完全相同的條件下拍三幅,發現有的時候它也有隨機性,這就跟流注有點像了,重復性也是在一定條件下重復的,電壓低了就失去了重復性。大家認為這是由于空氣中的氮氣擴散引起的,我們做了一個很簡單的實驗,射流里面加一點氮,變成實心的。這里為什么能引起大家的興趣?很重要的一個原因就是子彈往前推后面有一個黑通道,這個黑通道電導率到底怎么樣?事實上它雖然是黑的,但電導率是非常高的,因為它的電子密度是非常高的,它為什么不發光?因為電場不夠,我們看到的光是從氮來的,而氮的激發態壽命很短,不被激發,它就發不了光,所以電場低,電子溫度就非常低,就沒有光,有的模型認為這個黑通道電導率非常高,有的認為非常低,但是都沒有定論,計算表明這個通道的電導率其實是很高的。我們發現所有的動態過程都是關于惰性氣體的,但是不是所有都射流?因為有一些空氣的射流、氮氣的射流不也是電驅動嗎?我們為了看看是不是一樣的,做了很簡單的一個氮氣射流裝置,產生的射流最多接近2cm,電流脈寬幾十納秒。我們發現一個很有趣的現象,對所有的射流,不僅僅是這個,我們試了好多,只要接地,不管是不是直接接地,你還沒有碰到它就拐彎了,就不往前推進了。但這個射流,根本就不會構成影響,我們甚至把它放前面,它還繞著跑,說明它的電測性跟惰性氣體是完全不一樣的。為了看它的區別,我們就看看它的速度是否一樣,它的速度只有幾百米每秒,而前面的都是幾十甚至上百千米每秒,我們算了一下它的氣體的速度,跟這個是非常接近的。后面我們繼續用空氣做了,也測了空氣的速度,速度一模一樣。
3、周前紅:高功率微波大氣擊穿的理論研究
首先簡單介紹一下研究背景,我們組是研究高功率微波的,現在國內高功率微波峰值功率已經達到吉瓦量級,達到這個量級之后就會出現很多問題,比如說高功率微波在傳輸中會發生大氣尾蝕、微波從微波源器件發射出來的時候也會發生擊穿,這些都不利于高功率微波的產生和傳輸,但是微波擊穿形成等離子體也為高功率微波的應用提供了一些應用前景,比如說有的學者就提出可以使用高功率微波產生人造電離層,用人造電離層產生人造臭氧層。上午很多老師介紹了等離子體流動控制、等離子體助燃,微波產生等離子體也可以用于流動控制和助燃。微波大氣等離子體屬于低溫弱電離等離子體,主要是通過電子碰撞電離,早期做的比較簡單,20世紀40年代就開始做一些擊穿闌值測量,很多等離子體研究都是這樣,基本上把等離子體發光作為一個判據。由于微波源功率的提高可以研究更大壓強范圍、更大頻率范圍的微波放電,近期很多研究組開始研究超音速和跨音速的微波放電,使用快速照相可以得到等離子體區域的一些精細結構。莫斯科無線電研究所進行了這方面的研究,他們的研究背景主要是助燃和流動控制或減阻,比較了超音速的放電和在靜止大氣中的微波放電,他們還做了微波等離子體箍縮,說可以使用微波等離子體箍縮產生中子,但他們裝置剛做實驗就因為經費問題拆掉了,所以具體詳細的實驗他們沒有。俄羅斯學者提出了人造電離層和臭氧層,由于在大氣中的實驗很難做,他們在實驗室內使用兩束微波相交,然后看形成等離子體的區域形狀。
在2008—2009年,MIT(麻省理工學院)用快速照相測到了等離子體區域向微波源方向移動的速度[實驗的氣壓是710torr(1torr=133.322Pa),微波頻率是110GHz],發現在電場和波矢所在的平面等離子體呈絲狀,在磁場和波矢所在的平面是一系列的點狀結構,整個等離子體區域都是向微波源方向移動。MIT另外一個小組研究了更大壓強范圍和功率范圍內的微波等離子體區域形狀,他們得出的結論是這樣的:高氣壓下是絲狀,中等氣壓下是片狀或者說魚骨形的結構,低氣壓是連續等離子體區域,他們也發現不同氣壓條件下等離子體區域都是向微波源方向移動的。我們對MIT的實驗結果進行了模擬。我們使用的理論模型比較簡單,就是描述電磁波的Maxwell方程組和描述等離子體的電子運動方程,電子運動方程稍微變形一下就會變成一個電流密度的控制方程,還有電子數密度方程,參數都是實驗上的一些擬合公式,電離頻率表示電子的增長,它對場強有一個5.33次方的依賴關系,因為粘附造成的電子損失,氧氣有電負性。對控制方程進行離散,由于電磁波與等離子體的時空尺度差別很大,我們在模擬中對它們使用了不同的時空步長。二維模擬中我們使用的計算區域是,波矢沿著z方向傳播,如果是一維的在)方向平移對稱就行了。
首先看一維的結果,初始電子數密度給的是半徑為50μm的高斯分布。為了和實驗比,我們取的微波頻率也是110GHz。在t=6ns時,由于等離子體密度還比較小,所以它對電磁波基本上沒有吸收和反射,所以在整個計算區域,微波振幅是不變的;隨著等離子體密度的增長,在t=15ns時,等離子體密度已經增長到1015cm-3,這時等離子體對微波有吸收,也會反射,反射的結果就在等離子體上游形成一個駐波結構,駐波的第一個場強最大值距離等離子體是1/4波長,當種子電子擴散到強場區的時候就會有一個新的等離子體絲出現,新的等離子體絲出現之后也會對微波形成反射,如此反復就會有等離子體絲在上游不斷出現。二維的結果和一維基本上是一樣的,等離子體反射微波形成的強場區形成一個弧形區域,等離子體絲不僅向微波源方向移動,還會向兩邊擴散。
下面看一下壓強對等離子體區域形狀的影響。760torr時我們前面已經介紹過了,當壓強降低的時候,剛開始時可以看到一些絲狀結構,隨著時間的推移它會過渡一個連續區,在200 torr的時候基本上看不到一個絲狀的,出現的都是連續區域。這主要是因為等離子體的產生有兩種作用,一個是電離,另一個是擴散。電離作用會導致在強場區形成高密度等離子體,而擴散作用會抹平這種密度差異,所以在高氣壓下,擴散系數比較小,會形成絲狀等離子體區;低氣壓擴散比較大,所以會形成一個連續的等離子體區。我們的模擬結果和實驗基本上是一致的,當壓強降低到400torr時,磁場和波矢所在面是一個片狀結構,到200torr時它是一個連續的等離子體區域。
下面看電場和波矢所在面的結果,在400torr和200torr的時候,它會出現一個比較漂亮的魚骨形,等離子體對電磁波的反射不僅在它的上游會形成一個駐波結構,在等離子體兩側也會出現兩個強場區,當種子電子擴散到兩個強場區時,就會在這兩邊形成新的等離子體區域,新的等離子體區域也會向微波源方向移動,最終也會成為一個魚骨形,我們模擬的等離子體區域形狀和實驗定性上符合得很好。
從前面可以看出,在垂直于電場方向和平行于電場方向等離子體的運動是不一樣的。當等離子體密度達到一定程度的時候,由于和電磁波相互作用,在等離子體沿著電場方向的兩端形成強場區,在強場區的作用下,等離子體就會被拉長,拉長之后兩端的場就會進一步加強,這樣就不斷地拉長,直到它上游出現一個新的等離子體絲。新的等離子絲重復這個過程,如此反復,它會有一個等離子體絲向微波源方向移動。
下面看一下相交微波束大氣擊穿的模擬結果,我們首先算了同頻率微波相交的情況,此時相干疊加之后,由于干涉作用,會形成電場強度強弱分布。我們首先模擬一下種子電子在弱場區的情況。因為在大氣中種子電子是偶然出現的,有可能出現弱場區,如果出現在弱場區,它需要擴散,擴散到強場區之后電子碰撞分子發生雪崩電離,形成的等離子體沿著強場區做趨源運動,運動方向沿著)=:的這條線。形成的等離子體的區域是一個等離子體絲帶,當然如果把氣壓降低,會發現絲帶就會過渡為一個等離子體帶。圖1給了幾個典型時刻的等離子體密度分布和場強的分布,在20ns的時候,由于靠近等離子體區域最強的場是沿著)=:這條線的,當等離子體絲帶長度增加到一定程度的時候,在其左上和右下區域,相當于把兩個微波場隔開,這兩個區域相當于只有一個單微波的作用,在兩邊有新的等離子體絲帶。如果初始電子出現在強場區,電子碰撞分子就會雪崩電離,形成等離子體。等離子體區域也是沿著J=:這條線做趨源運動。下面簡單比較了同頻和非同頻微波相交的大氣擊穿,同頻相當于相干疊加,非同頻相當于非相干疊加,模擬時間都是80ns,初始的種子電子數都一樣,可以發現在相干的情況下,即使把種子電子源放到場強最小的地方,產生等離子體的區域也大于非相干的情況,而且產生的最大電子數也是大于非相干的情況。總結主要有三點,一個是區域隨壓強的變化,還有等離子體做趨源運動,還有相干比非相干的等離子體區域比較大。

4、施蕓城:千赫茲、兆赫茲大氣壓輝光放電及其應用
在這里主要聊一聊有關千赫茲和RF下大氣壓輝光放電及其一些應用。這些內容大部分是以石建軍教授為主的我們團隊的一些工作。關于DBD,前面講過它有很多好處但也有一些問題,比如說它的不均勻性等。我們的想法是把射頻或高頻引人到大氣壓放電下,使它產生通常意義下的輝光放電。
如果一個幾十赫茲的信號或者電壓加在兩個極板上就會產生絲狀放電,升高電壓,絲狀放電有可能就會增多。介質阻擋層限制了放電電流的增加。上極板附近會有一個發光區,下極板也會有。在半個周期內放電在一個極板附近。每半個周期內放電時的強度有所不同,一個極板附近稍微弱一點。這是因為上下兩個電極不是電對稱的。
氣流從一側進人系統,出口附近加一個電極。在其正前方是另外一個電極,這個電極可近可遠,該電極是接地的,因為做實驗的時候外面總是要有接地的。由此我們就能看到一個JET。它的整個放電過程實際是在整個周期電壓上升的某個區域才能產生的。看到的現象跟同行前面說的相似,看上去像是一束等離子體,用ICCD拍出來以后是像“子彈”樣的東西。整個“子彈”區域的光強分布有一些特點,如強度分布會出現兩個峰,“子彈”以超音速運動等。一個JET只能處理很小的一點,如果把多個JET做成一個陣列,能形成一個大面積的處理。JET的直徑2. S mm,所產生作用的區域大概23 mm,所以一個JET出來的等離子體強度所產生的影響范圍是非常大的。如果要擴大它的作用范圍,由7個JET構成直徑大概8mm的結構,作用范圍可以擴大到35 mm,還可以做更大陣列。
上面描述的是正弦激勵的方式,下面我們看一下脈沖激勵的方式。這里脈沖電壓不是很高,大概就是1kV。對于在電極間不加介質的情況和DBD的情況,同樣加這樣一個脈沖,這兩種放電的特征有一點不一樣。不加介質阻擋的時候在電壓下降沿有一個大的電流峰,我認為真正的放電(或說電離)在電壓上升時已經開始。有介質阻擋的時候,在電壓上升到一定的程度后,當電壓變化率產生變化時會產生形成較大的放電電流。然后在電壓后沿下降的時候又產生一次放電,當然這兩處放電的機理應該是不同的。一種粗淺的理解是這樣的,第一次放電是通常意義上的,放電以后氣體中產生的電離正負電荷,在電壓變化變化時,會使它們的漂移云輝光很強。由于電壓不變,放電產生的正負電荷在這個穩定的電場作用下向兩邊集聚,電極間電場減弱。到了電壓下降沿的時候,外加電壓去掉了,在兩極附近積累的電荷由于自身建立的電場作用而產生放電,即空間電荷產生的內建電場激發放電。內建電場與外加電場方向相反,所以形成反向電流。
大家都知道,任何放電,等離子體中離子的運動和電子運動的速度是不一樣的,在小于離子振蕩的時空變化范圍內,一定會形成空間電荷。我們把一個連續的正弦高頻放電變成脈沖的,在脈沖的情況下整個放電過程中就不會像正弦的情況下產生絲狀放電。在脈沖的上升和下降過程中,會產生電荷的重新分布,由于脈沖非常短,絲狀放電的建立就很難。
下面介紹射頻放電,我們企圖將把介質板去掉,在射頻放電下獲得均勻放電。大家知道在射頻放電中有 α模式和γ模式,α模式下所放電形成的特點,穩定而充滿空間,γ模式之下兩個極板之間放電形成的特點,局部收縮而不穩定。在某個頻率下放電的電流達到一定程度,就進人為α模式,如果再增加它的電流就進人γ模式。α模式當然比γ模式的放電區域分布范圍更加廣,能夠分布到整個電極,也就是我們通常所說的均勻性會好一點。所以要控制這兩個之間的放電狀況變化,就是控制這里的電流。控制這電流可以是一個穩流源,或外加的可控電壓,就能在一定的頻率下把整個放電控制在α模式上。在APGD和DBD情況下,它們的α模式相似,電壓或電流增加到一定程度,α模式和γ模式之間會轉化。如果在一定射頻下放電時間的足夠長,維持在α模式當然是非常好的一件事情,但是它所注人的能量也非常高,在處理材料的時候等離子體放電注人的能量與所需要的能量相比就會很大,這就會造成電極非常熱,甚至把被處理材料燒壞,所以,我們試圖在射頻上面加上一點脈沖控制,使得它產生有效的作用以后停止放電。因為一旦停止放電,實際上里面活性的粒子還會存在,只要有相應的處理效果以后,沒必要一直持續的放電,所以在連續放電的射頻電壓上加了一個脈沖。
如果兩個脈沖間隔比較近,那么跟連續就沒什么差異,因為脈沖撤銷以后,即射頻消失以后,電極間還存在的空間電荷,也就是有電子和離子分離存在,這些電子在第二脈沖上來后就會參與放電,這時與連續放電差異性就不大了。如果脈沖間隔范圍足夠寬,這就成為兩個不同的放電,兩個放電之間是不相關的。如圖1( I)是脈沖之間間隔非常小的時候,稱為連續模式;下面的Ⅲ是脈沖之間間隔非常大的時候,稱為分離模式,我們可以看到整個放電的峰值電流要小不少。在它們之間,(II)稱為傳輸模式,在兩個脈沖之間,電子沒有完全消亡的情況下放電電流與占空比的關系。共有上述三個過程,可見脈沖的間隔長短對放電的影響不是由占空比決定,主要是考慮電極之間間距和里面所參與的空間電荷分布變化。
然后我們把脈沖寬度進一步縮短,整個占空比的寬度大概到6%的情況下,脈寬被調至非常短,增加到8%以后,放電的均勻性稍微差一點。因為在上下兩個極之間存在“鞘”的增加,實際上就是那個地方有過多的空間電荷的分布存在,所以說它的均勻性就差一點。加了一定脈沖調制以后,在不同的電流和電壓情況下放電模式發生變化。在一定的電流和電壓下,均勻放電的模式會轉變掉了。低的占空比會有更寬的a模式運行范圍。所以說通過控制一定的電流和一定的電壓就能保持a模式放電的狀態。

用長50cm、間距5cm的電極板做了一個射頻的放電模式。我們用上面介紹的JET做了滅菌實驗,細菌的存活數量得到了有效的下降。在這里主要看一下對化纖的處理效果,圖2的左圖是沒有處理過的,中圖是200 W處理的,右圖是800 W處理的。這兩個之間有什么區別呢?中圖顯示纖維表面有溝槽出來,這任何化纖在等離子體處理情況下刻蝕的一個特征,在低真空情況下的射頻放電都會有溝槽刻蝕出來。但是在大氣壓輝光放電的情況下,表面有許多圓形體產生。我認為不單純有刻蝕,而且有表面熔融的狀態出來。所以說,在大氣壓射頻放電對表面的作用是相當強的。雖然每個脈沖時間比較短,但是它的作用非常強。



